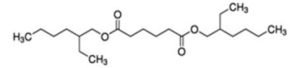
DOA, or Dioctyl Adipate, is a colorless, odorless, oily liquid used primarily as a
plasticizer.
It is known for its excellent low-temperature flexibility and good electrical
properties, making it ideal for various flexible PVC applications.
Technical Specifications:
Flashing point: 190
Density: g/cm3 0.925-0.935
Acid Value: 0.1
Chemical Formula: C22H42O4
